Home
/
Highlights
Graduate students published papers in IEEE Transactions on Communications and IEEE Antennas and Wireless Propagation Letters
Date:23/12/2025Author:
admin
use
turn to the next or back

turn to the next or back
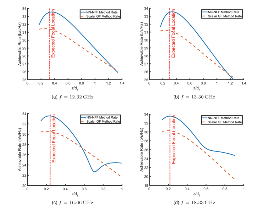
Recently, the research team led by Assoc. Prof. Said Mikki of Zhejiang University-University of Illinois Urbana-Champaign Institute (ZJUI) has made two significant research advances, with their findings published in Institute of Electrical and Electronics Engineers (IEEE) Transactions on Communications and IEEE Antennas and Wireless Propagation Letters. The first author of both papers is Hu Jiarun, a 2023 doctoral student in Electronic Science and Technology at Zhejiang University, and the sole corresponding author is Assoc. Prof. Said Mikki.












